|
镍氢电池是一种碱性电池,镍氢电池的标称电压为1.2V。它具有高倍率的放电性能,短时间可以以3C(C:电池充放电时电流大小的比率)的倍率放电,瞬时脉冲放电率很大。镍氢电池的过放电和过充电性能很好,可快充深放,无记忆性,不含汞,镉,铅等有害物质,从而避免了二次电池对环境造成的污染。这些优势使得镍氢电池得到了迅速和广泛的推广应用。
充电方式、充电电流和电池的温度以及充电停止电压等条件是影响镍氢电池使用寿命的主要因素,本文设计的智能镍氢充电器可以准确检测电池端电压和充电温度,有效防止过充和充电不足的现象,提高充电的效率,而且在充电器存在故障时,能够及时停止充电,避免损害电池。
l 硬件电路设计
智能充电器的原理框图如图1所示,主要包括开关电源、PWM控制电路、采样电路等三个部分。本充电器的工作原理是把开关电源输出的30V直流电源,通过可控恒流源电路把稳压源转换为恒流源,对镍氢电池组进行充电。

1)开关电源
本系统采用TOFSwitch―GX系列PWM开关控制电路来实现220V交流电到低压直流电压的转换,克服了采用传统工频变压器的体积庞大,效率低,发热量大的缺点。开关电源电路如图2所示。开关电源有两路输出:一路输出电压为5V,用于对MCU进行供电;一路输出电压为30V,此路电源有两个用途:通过PWM控制电路对电池进行充电和经过稳压电源芯片7818的转换对采用电路和PWM控制电路进行供电。
2)PWM控制电路
控制电路的控制芯片采用的是带有AD和PWM口的STC12C2052AD单片机。使用单片机的四个AD来采集电池的电压、充电电流、电池的温度和环境温度。控制主电路如图3所示。VT2(IRFZ44)正常工作时,VGS必须大于2V,因此系统采用了升压电路把l8V电压升压为36V电压。当G1端的电平为低时,VT2处于关闭状态,这时候停止对电池充电。当Gl端的电平为高时,IRFZ44处于导通的状态,这时候处于对电池的充电状态。因此通过控制PWM的占空比,就可以控制VT2的导通时间,进而控制充电电流。

3)采样电路
该系统的检测电路主要由电压检测,电流检测和温度检测构成。采样电路如图3所示。


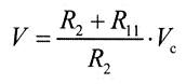
电压检测的实现:电池的端电压通过电阻R11,R2分压,经过放大电路进入控制芯片的AD口。计算公式如下:

其中壤示电池电压,Vc为采样到的电压
电流检测的实现:在这里先用电阻R1(0.1Ω)将电流转换为电压。由于转换后的电压很小,因此在把该电压送入AD口前进行了电压的放大,放大的倍数为16倍。计算公式如下:

其中I表示充电电流,Vc为采样电压
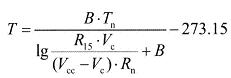
温度检测的实现:通过电阻R15和电池 温度检测的实现:通过电阻R15和电池内部的NTC电阻构成一个回路。由于NTC的阻值随着温度产生变化,因此通过检测NTC电阻的端电压,可以通过下面的计算公式计算出当前电池组的温度。内部的NTC电阻构成一个回路。由于NTC的阻值随着温度产生变化,因此通过检测NTC电阻的端电压,可以通过下面的计算公式计算出当前电池组的温度。

其中I表示电池组温度,B表示热敏指数,Rn表示在额定温度Tn(K)时的NTC热敏电阻阻值,且Tn=25+273.15=298.15K同样的原理,通过检测NTC电阻R32的电压,并通过计算公式就可以检测出环境的温度。

2 充电算法
为了既提高蓄电池充电速度,又避免充电过程中产生过量的气泡,使极板活性物质脱落损坏,影响电池的使用寿命,充电器采用了预充电一陕速充电一补足充电一涓流充电的四段分级恒流充电方式。
1)预充电阶段
当电池组的端电压小于20V或电池的温低于一5℃时,为了避免快速充电对电池造成损害,充电器按照0.05C的稳定小电流对电池进行充电。当电池组的电压大于20V而且电池温度大于一5℃时,就进入快速充电阶段。
2)快速充电阶段
这个阶段采用恒定大电流对电池进行充电。电流的大小和电池组有关,一般0.3C~1C。在这里我们采用1C的充电电流。当电池的状态符合停止快速充电的状态则进入补足充电阶段。
3)补足充电阶段
用定时控制和最高电压快速充电终止法时,快速充电终止后,电池并未充足电。为了保证充人100%的电量,还应加入补足充电阶段。补足充电速率一般不超过0.3C。在补足充电过程中,温度会继续上升,当温度和充电时间超过规定的极限时,充电器转入涓流充电阶段。
4)涓流充电阶段
镍氢电池在存放时,电池的电量会因为自放电而导致电池电量减少,为了补偿电池自放电损失的电量,在补足充电阶段结束后,充电器进入涓流充电阶段。由于电池的自放电速率一般都很低,在这个阶段采用了0.01C的电流给电池补充电荷,让电池一直处于充足电的状态。
3 程序设计
本系统利用电池电压、温升、充电时间以及电压变化量等参数来综合判断是否应该结束充电过程,程序由主程序和定时中断程序组成。主程序如图5所示。为了防止掉电对电池充电过程的影响,在EEPROM里面存有充电的时间和状态。如果上次不是一个完整的充电过程,再次上电时就可以根据EEPROM里面的充电的状态和充电的时间来继续充电过程。
中断服务程序如图6所示,程序每隔100ms执行一次。进入中断后先采集电池电压,充电电流,电池温度和环境温度,并计算充电时间。当充电电流偏离设定值10%时则要调整PWM参数,使电流维持在设定值附近。当现在的充电状态为快充的时候,如果电池电压,温度和充电时间满足下面的条件时,停止快充:当电池电压大于设定值或出现5~10毫伏/分钟/节的负△V变化时;电池温度超过45℃、出现10℃的温升或出现0.5℃/min的温度变化率时;充电时间超过90分钟时(本系统采用1.0C充电),都应停止快速充电;当现在的充电状态为补足充电的时候,如果补足充电的时间超过了30分钟或温度超过50℃的时候,则进入涓流充电阶段,充电结束。
为了防止由于电池的长时间闲置或过度放电而造成的充电前期的电压起伏带来的误判出现,在开始充电的前10分钟关闭电池电压变化的判断。实际的效果表明这是一种很有效的解决这种误判的方法。
4 结束语
在实验室中进行了大量的实验,实验表明该电路可靠性高,能够实现快速充电和电池保护功能,而且简单实用。该设计也已经成功投放市场,为了让产品具有更强的竞争力,该电路在充电算法和硬件电路设计方面还可以进一步提高。比如在充电过程中加入具有去极化功能的放电环节,将会进一步提高充电效率和电池组使用寿命。
|